Zadanie

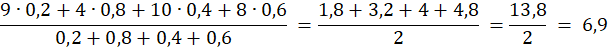
Teleturniej składa się z czterech konkurencji, w każdej z nich dostaje się ocenę w skali od 0 do 10 . Tabela pokazuje liczbę punktów, które dostał każdy z finalistów. Oblicz, który z zawodników wygrał, jeśli ostateczny wynik jest średnią ważoną.

Rozwiązanie

Wyjaśnienie

Zadania z tego działu
Rozdział VIII. Statystyka
178
Lekcja 4. Krótko o centylu
190
Powtórzenie rozdziału. Statystyka. Zadania podsumowujące
192
Powtórzenie rozdziału. Statystyka. Sprawdź, czy potrafisz
193