Podziel pisemnie i zapisz wynik w postaci 266 : 5 = 53 r 1.
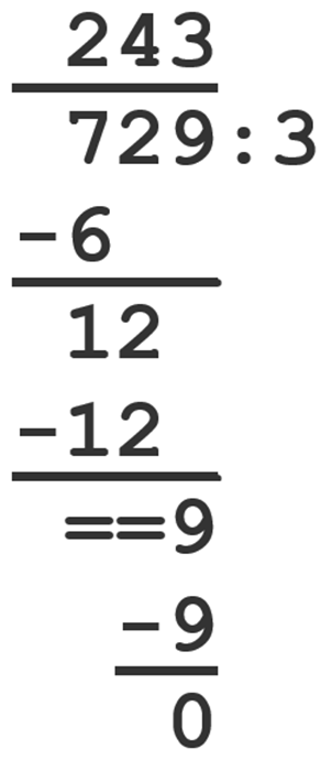
729 : 3 = 243 r 0
Wynik u góry zapisu dzielenia pisemnego to liczba całości, a u dołu – reszta z dzielenia.
Zadanie 1 poziom A
114Zadanie 1 poziom B
114Zadanie 1 poziom C
114Zadanie 1 poziom D
115Zadanie 1 poziom Mistrz
115Zadanie 2
115Zadanie 7
115Ćwiczenie I
117Zadanie 1 poziom A
121Zadanie 1 poziom B
121Zadanie 1 poziom C
121Zadanie 1 poziom D
121Zadanie 1 poziom Mistrz
121Zadanie 4
122Zadanie 5
122Zadanie 9
122Zadanie 10
122Zadanie 11
122Zadanie 12
123Ćwiczenie I
123Zadanie 1 poziom A
125Zadanie 1 poziom B
125Zadanie 1 poziom C
125Zadanie 1 poziom Mistrz
125Zadanie 3
125Zadanie 6
126Zadanie 8
126Zadanie 13
127Zadanie 14
127Ćwiczenie I
127Ćwiczenie III
127Zadanie 1 poziom A
130Zadanie 1 poziom B
130Zadanie 1 poziom C
130Zadanie 1 poziom D
130Zadanie 1 poziom Mistrz
130Zadanie 6
130Zadanie 10
131Zadanie 12
131Zadanie 13
132Zadanie 14
132Ćwiczenie I
132Zadanie 1 poziom A
135Zadanie 1 poziom B
135Zadanie 1 poziom C
135Zadanie 1 poziom Mistrz
135Zadanie 2 poziom A
136Zadanie 2 poziom B
136Zadanie 2 poziom C
136Zadanie 2 poziom Mistrz
136Zadanie 4
136Zadanie 6
137Zadanie 7
137Zadanie 8
137Zadanie 9
137Zadanie 10
137Zadanie 11
137Ćwiczenie I
138Ćwiczenie II
138Zadanie 1 poziom A
141Zadanie 1 poziom B
141Zadanie 1 poziom C
141Zadanie 1 poziom D
141Zadanie 10
142Ćwiczenie I
142Zadanie 3
143Zadanie 5
143Zadanie 6
143Zadanie 8
143Zadanie 1
146Zadanie 2
146Zadanie 3
146Zadanie 4
146Zadanie 5
146Zadanie 6
146Zadanie 8
147Zadanie 9
147