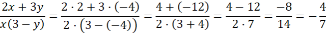
W tym zadaniu musisz wstawić podane w treści wartości i wykonać obliczenia.
Wstaw dane podane w zadaniu. Wykonaj mnożenie w liczniku i mianowniku. Następnie wykonaj dodawanie i odejmowanie. Pamiętaj, że możesz zmienić dodawanie na odejmowanie, tylko wtedy, gdy zmienisz znak drugiej liczby na przeciwny. Na koniec podziel liczbę w liczniku przez liczbę w mianowniku. Nie zapomnij, iloraz liczby dodatniej i ujemnej jest liczbą ujemną.
Zadanie 2
202Zadanie 5
203Zadanie 7
203Zadanie 8
203Zadanie 10
203Zadanie Zadanie sprawdzające3
204Zadanie 2
206Zadanie 3
206Zadanie 4
206Zadanie 5
207Zadanie 6
207Zadanie 9
207Zadanie 10
207Zadanie Zadanie sprawdzające2
208Zadanie Zadanie sprawdzające4
208Ćwiczenie 5
210Zadanie 1
210Zadanie 2
210Zadanie 3
210Zadanie 4
211Zadanie 6
211Zadanie Zadanie sprawdzające1
211Zadanie Zadanie sprawdzające2
211Zadanie 1
214Zadanie 2
214Zadanie 3
214Zadanie 4
214Zadanie 5
214Zadanie 6
214Zadanie 7
214Zadanie Zadanie sprawdzające1
215Zadanie Zadanie sprawdzające2
215Zadanie 10
218Zadanie 12
218