W tym zadaniu musisz obliczyć wartość x.
Odpowiedź: Liczba
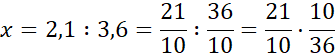
Przyjrzyj się równaniu: znasz dzielną i iloraz. Zamień liczby mieszane na ułamki niewłaściwe i podziel dzielną przez iloraz. Wynik to brakujący dzielnik. Pamiętaj, dzieląc przez ułamek, musisz pomnożyć przez liczbę do niego odwrotną.
Zadanie 2
202Zadanie 5
203Zadanie 7
203Zadanie 8
203Zadanie 10
203Zadanie Zadanie sprawdzające3
204Zadanie 2
206Zadanie 3
206Zadanie 4
206Zadanie 5
207Zadanie 6
207Zadanie 9
207Zadanie 10
207Zadanie Zadanie sprawdzające2
208Zadanie Zadanie sprawdzające4
208Ćwiczenie 5
210Zadanie 1
210Zadanie 2
210Zadanie 3
210Zadanie 4
211Zadanie 6
211Zadanie Zadanie sprawdzające1
211Zadanie Zadanie sprawdzające2
211Zadanie 1
214Zadanie 2
214Zadanie 3
214Zadanie 4
214Zadanie 5
214Zadanie 6
214Zadanie 7
214Zadanie Zadanie sprawdzające1
215Zadanie Zadanie sprawdzające2
215Zadanie 10
218Zadanie 12
218