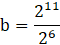
W tym zadaniu musisz obliczyć obwód przedstawionego prostokąta.
Na początku przekształć wzór na pole prostokąta do postaci b =. Oblicz bok b. Później policz obwód prostokąta, wiedząc, że jest to 2a + 2b.
Zadanie 2.
32Zadanie 3.
32Zadanie 4.
32Zadanie 5.
32Zadanie 6.
32Zadanie 7.
32Zadanie 8.
32Zadanie 9.
32Zadanie 10.
32Zadanie 11.
32Zadanie 12.
33Zadanie 13.
33Zadanie 14.
33Zadanie 15.
33Zadanie 17.
33Zadanie 18.
33Zadanie 19.
33Zadanie 21.
34Zadanie 22.
34Zadanie 25.
34Zadanie 1.
35Zadanie 2.
35Zadanie 3.
35Zadanie 4.
35Zadanie 8.
35Zadanie 9.
35Zadanie 11.
36Zadanie 12.
36Zadanie 15.
36Zadanie 16.
36Zadanie 17.
36Zadanie 20.
37Zadanie 21.
37Zadanie 25.
37Zadanie 26.
37Zadanie 27.
37Zadanie 28.
37Zadanie 2.
38Zadanie 3.
38Zadanie 4.
38Zadanie 5.
38Zadanie 7.
38Zadanie 10.
39Zadanie 11.
39Zadanie 12.
39Zadanie 13.
39Zadanie 15.
39Zadanie 16.
39Zadanie 18.
39Zadanie 19.
40Zadanie 22.
40Zadanie 24.
40Zadanie 26.
40Zadanie 29.
40Zadanie 30.
40Zadanie 31.
40Zadanie 1
41Zadanie 2
41Zadanie 4
41Zadanie 5
41Zadanie 7
41Zadanie 8
41Zadanie 9
41Zadanie 10
41Zadanie 13
42Zadanie 14
42Zadanie 15
42Zadanie 16
42Zadanie 18
42Zadanie 19
42Zadanie 20
42Zadanie 23
43Zadanie 24
43Zadanie 25
43Zadanie 26
43Zadanie 27
43Zadanie 28
43Zadanie 30
43Zadanie 31
43Zadanie 32
43Zadanie 1.
44Zadanie 2.
44Zadanie 3.
44Zadanie 4.
44Zadanie 6.
44Zadanie 7.
44Zadanie 11.
45Zadanie 12.
45Zadanie 13.
45Zadanie 14.
45Zadanie 15.
45Zadanie 16.
45Zadanie 20.
45Zadanie 21.
46Zadanie 25.
46Zadanie 27.
46Zadanie 28.
46Zadanie 11.
48Zadanie 12.
48Zadanie 13.
48Zadanie 14.
48Zadanie 16.
48Zadanie 17.
48Zadanie 18.
48