W tym zadaniu musisz przedstawić liczbę
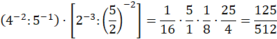
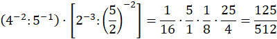
Wykonaj obliczenia zgodnie z kolejnością wykonywania działań.
Ćwiczenie 1
10Ćwiczenie 2
10Ćwiczenie 3
11Ćwiczenie 4
12Zadanie 1
16Zadanie 2
16Zadanie 3
16Zadanie 4
16Zadanie 5
17Zadanie 6
17Zadanie 11
17Ćwiczenie 14
28Zadanie 2
29Zadanie 3
29Zadanie 4
29Zadanie 5
29Zadanie 6
30Zadanie 15
30Zadanie 16
30Zadanie 19
31Zadanie 24
33Ćwiczenie 1
35Ćwiczenie 2
37Ćwiczenie 3
37Zadanie 1
38Zadanie 2
39Zadanie 3
39Zadanie 4
39Zadanie 5
39Zadanie 6
39Zadanie 7
40Zadanie 8
40Zadanie 9
40Zadanie 10
40Zadanie 11
11Zadanie 12
40Ćwiczenie 1
42Ćwiczenie 2
43Ćwiczenie 3
44Zadanie 1
45Zadanie 2
45Zadanie 3
45Zadanie 4
45Zadanie 5
46Zadanie 6
46Zadanie 7
46Zadanie 8
46Zadanie 9
46Zadanie 10
47Zadanie 11
47Zadanie 12
47Zadanie 13
47Zadanie 14
47Zadanie 15
47Zadanie 16
47Zadanie 17
48Ćwiczenie 1
50Ćwiczenie 2
51Ćwiczenie 3
51Ćwiczenie 4
52Ćwiczenie 5
52Ćwiczenie 6
53Zadanie 1
54Zadanie 2
54Zadanie 3
54Zadanie 4
54Zadanie 5
54Zadanie 6
54Zadanie 7
54Zadanie 8
55Zadanie 9
55Zadanie 10
55Zadanie 11
55Ćwiczenie 1
59Ćwiczenie 2
60Zadanie 1
60Zadanie 2
61Zadanie 3
61Zadanie 4
61Zadanie 5
61Zadanie 6
62Zadanie 7
62Zadanie 8
62Ćwiczenie 1
64Ćwiczenie 2
65Ćwiczenie 3
65Zadanie 1
66Zadanie 2
66Zadanie 3
66Ćwiczenie 1
69Ćwiczenie 2
70Ćwiczenie 3
71Zadanie 1
71Zadanie 2
71Zadanie 3
71Zadanie 4
72Zadanie 5
72Zadanie 6
72Zadanie 9
72Ćwiczenie 6
75Zadanie 1
76Zadanie 2
76Zadanie 6
76