Samochód będzie kosztował 3000 zł po 20 latach.
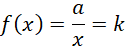
Równanie zapisane przez Wojtka:
Po dwóch latach samochód kosztuje 30 000 zł, więc:
Ostatecznie zależność przyjmuje postać:
Obliczenie, po ilu latach samochód będzie warty 3000 zł (k = 3000):