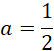
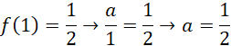
Musisz przeanalizować podany wykres oraz obliczyć współczynnik a na podstawie wzoru funkcji.
Odczytując z wykresu przykładową wartość funkcji dla przykładowego argumentu:
Ćwiczenie 1
Podpunkt a)
Podpunkt b)
Ćwiczenie 2
Podpunkt c)
Ćwiczenie 3
Ćwiczenie 4
Ćwiczenie 5
Podpunkt d)
Ćwiczenie 6
Zadanie 12.1
Zadanie 12.2
Zadanie 12.3
Zadanie 12.4
Zadanie 12.5
Zadanie 12.6
Zadanie 12.7
Ćwiczenie 7
Ćwiczenie 8
Ćwiczenie 9
Ćwiczenie 10
Ćwiczenie 12
Ćwiczenie 13
Zadanie 12.8
Zadanie 12.9
Zadanie 12.10
Zadanie 12.11
Zadanie 12.12
Zadanie 12.13
Zadanie 12.14
Zadanie 12.15
Zadanie 12.16
Zadanie 12.17
Zadanie 12.18
Zadanie 1
Zadanie 2
Zadanie 3
Zadanie 4
Zadanie 5
Zadanie 6
Zadanie 7
Zadanie 8
Zadanie 9
Zadanie 10