Zadanie

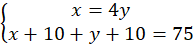
W tym zadaniu musisz wybrać układ równań, który opisuje sytuację: Matka jest cztery razy starsza od córki. Za 10 lat będą miały razem 75 lat, gdzie x to wiek matki, a y to wiek córki.

Rozwiązanie

Wyjaśnienie

Zadania z tego działu
7. Układy równań liniowych z dwiema niewiadomymi
158
Równanie liniowe z dwiema niewiadomymi
158
Rozwiązywanie układów równań liniowych z dwiema niewiadomymi
160
Przykłady zadań prowadzących do rozwiązywania układów równań liniowych
167