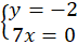
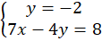
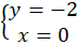
W tym zadaniu musisz rozwiązać układ równań metodą przeciwnych współczynników.
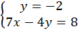
Pomnóż pierwsze równanie razy 7, a drugie razy 2:
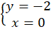
Dodaj równania stronami i oblicz y:
Podstaw y do dowolnego równania i oblicz x:
Ćwiczenie 1.
Podpunkt a)
Podpunkt b)
Podpunkt c)
Ćwiczenie 2.
Ćwiczenie 3.
Ćwiczenie 4.
Zadanie 7.1.
Zadanie 7.2.
Zadanie 7.3.
Ćwiczenie 5.
Ćwiczenie 6.
Ćwiczenie 7.
Ćwiczenie 8.
Ćwiczenie 9.
Zadanie 7.4.
Podpunkt d)
Podpunkt e)
Podpunkt f)
Zadanie 7.5.
Zadanie 7.6.
Zadanie 7.7.
Zadanie 7.8.
Zadanie 7.9.
Zadanie 7.10.
Zadanie 7.11.
Zadanie 7.12.
Zadanie 7.13.
Zadanie 7.14.
Zadanie 7.15.
Ćwiczenie 10.
Ćwiczenie 11.
Ćwiczenie 12.
Zadanie 7.16.
Zadanie 7.17.
Zadanie 7.18.
Zadanie 7.19.
Zadanie 7.20.
Zadanie 7.21.
Zadanie 7.22.
Zadanie 7.23.
Zadanie 7.24.
Zadanie 1.
Zadanie 2.
Zadanie 3.
Zadanie 4.
Zadanie 5.
Zadanie 6.
Zadanie 7.
Zadanie 8.
Zadanie 9.
Zadanie 10.
Zadanie 11.