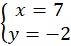
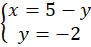
Odpowiedź: (7,-2)
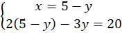
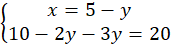
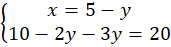
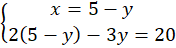
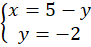
Wyznacz z pierwszego równania x:
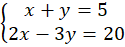
Podstaw wyliczone
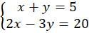
Oblicz y:
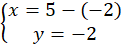
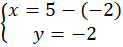
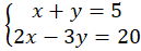
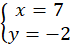
Podstaw obliczone y do pierwszego równania i oblicz x:
Rozwiązaniem układu równań jest para liczb (7,-2).