W tym zadaniu musisz dopisać drugie równanie do równania , tak żeby układ, który utworzą: 1. Nie miał rozwiązania, 2. Miał jedno rozwiązanie 3. Miał nieskończenie wiele rozwiązań.
Rozwiązanie
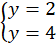
1.
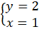
2.
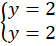
3.
Wyjaśnienie
Zauważ, że jeśli dopiszesz do równania równanie, to układ będzie sprzeczny, nie będzie miał rozwiązań.
Jeśli dopiszesz równanie, gdzie x jest konkretną liczbą, to układ będzie miał tylko jedno rozwiązanie:
Jeżeli dopiszesz równanie, to układ będzie miał nieskończenie wiele rozwiązań postaci (x,2), gdzie x należy do zbioru liczb rzeczywistych.