x – ilość kupionych „Łasuchów”
y – ilość kupionych „Smaczków”
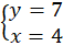
Odpowiedź: Tata kupił 4 puszki karmy „Łasuch” i 7 puszek karmy „Smaczek”.
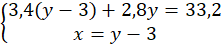
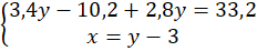
Podstaw za x ilość kupionych „Łasuchów”, a za y ilość kupionych „Smaczków” i ułóż równania. Zauważ, że jeżeli pomnożysz ilość puszek x razy ich cenę i dodasz do tego pomnożoną ilość puszek y razy ich cenę, to otrzymasz całkowity koszt zakupu:
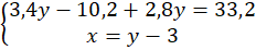
Podstaw x do pierwszego równania i oblicz y:
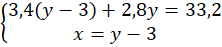
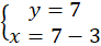
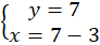
Podstaw y do drugiego równania i oblicz x:
Odpowiedź: Tata kupił 4 puszki karmy „Łasuch” i 7 puszek karmy „Smaczek”.