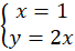
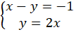
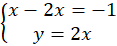
W tym zadaniu musisz rozwiązać układ równań i określić, czy ten układ jest oznaczony, nieoznaczony czy sprzeczny.
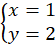
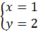
Układ oznaczony
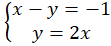
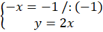
Podstaw y do pierwszego równania i oblicz x:
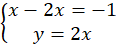
Podstaw x do drugiego równania i oblicz y:
Układ oznaczony ma jedno rozwiązanie.
Ćwiczenie 1.
Podpunkt a)
Podpunkt b)
Podpunkt c)
Ćwiczenie 2.
Ćwiczenie 3.
Ćwiczenie 4.
Zadanie 7.1.
Zadanie 7.2.
Zadanie 7.3.
Ćwiczenie 5.
Ćwiczenie 6.
Ćwiczenie 7.
Ćwiczenie 8.
Ćwiczenie 9.
Zadanie 7.4.
Podpunkt d)
Podpunkt e)
Podpunkt f)
Zadanie 7.5.
Zadanie 7.6.
Zadanie 7.7.
Zadanie 7.8.
Zadanie 7.9.
Zadanie 7.10.
Zadanie 7.11.
Zadanie 7.12.
Zadanie 7.13.
Zadanie 7.14.
Zadanie 7.15.
Ćwiczenie 10.
Ćwiczenie 11.
Ćwiczenie 12.
Zadanie 7.16.
Zadanie 7.17.
Zadanie 7.18.
Zadanie 7.19.
Zadanie 7.20.
Zadanie 7.21.
Zadanie 7.22.
Zadanie 7.23.
Zadanie 7.24.
Zadanie 1.
Zadanie 2.
Zadanie 3.
Zadanie 4.
Zadanie 5.
Zadanie 6.
Zadanie 7.
Zadanie 8.
Zadanie 9.
Zadanie 10.
Zadanie 11.