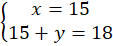
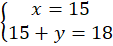
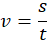
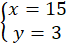
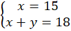
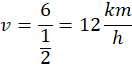
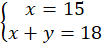
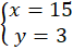
Zadanie

W tym zadaniu musisz obliczyć prędkość motorówki i nurtu rzeki, wiedząc, że motorówka przepłynęła odległość 6 km z nurtem rzeki w 20 minut, a pod nurt w 30 minut.

Rozwiązanie

Wyjaśnienie

Zadania z tego działu
7. Układy równań liniowych z dwiema niewiadomymi
158
Równanie liniowe z dwiema niewiadomymi
158
Rozwiązywanie układów równań liniowych z dwiema niewiadomymi
160
Przykłady zadań prowadzących do rozwiązywania układów równań liniowych
167