Zadanie

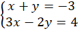
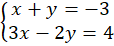
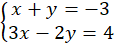
W tym zadaniu musisz sprawdzić, czy para liczb (-2, -1) spełnia układ równań .

Rozwiązanie

Wyjaśnienie

Zadania z tego działu
7. Układy równań liniowych z dwiema niewiadomymi
158
Równanie liniowe z dwiema niewiadomymi
158
Rozwiązywanie układów równań liniowych z dwiema niewiadomymi
160
Przykłady zadań prowadzących do rozwiązywania układów równań liniowych
167