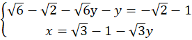
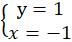
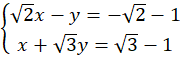
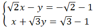
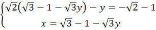
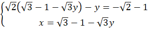
W tym zadaniu musisz rozwiązać układ równań .
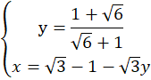
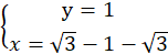
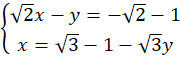
Oblicz x z drugiego równania:
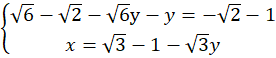
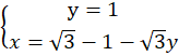
Podstaw x do pierwszego równania i oblicz y:
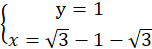
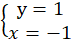
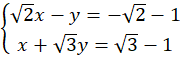
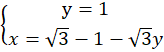
Podstaw y i oblicz x:
Ćwiczenie 1.
Podpunkt a)
Podpunkt b)
Podpunkt c)
Ćwiczenie 2.
Ćwiczenie 3.
Ćwiczenie 4.
Zadanie 7.1.
Zadanie 7.2.
Zadanie 7.3.
Ćwiczenie 5.
Ćwiczenie 6.
Ćwiczenie 7.
Ćwiczenie 8.
Ćwiczenie 9.
Zadanie 7.4.
Podpunkt d)
Podpunkt e)
Podpunkt f)
Zadanie 7.5.
Zadanie 7.6.
Zadanie 7.7.
Zadanie 7.8.
Zadanie 7.9.
Zadanie 7.10.
Zadanie 7.11.
Zadanie 7.12.
Zadanie 7.13.
Zadanie 7.14.
Zadanie 7.15.
Ćwiczenie 10.
Ćwiczenie 11.
Ćwiczenie 12.
Zadanie 7.16.
Zadanie 7.17.
Zadanie 7.18.
Zadanie 7.19.
Zadanie 7.20.
Zadanie 7.21.
Zadanie 7.22.
Zadanie 7.23.
Zadanie 7.24.
Zadanie 1.
Zadanie 2.
Zadanie 3.
Zadanie 4.
Zadanie 5.
Zadanie 6.
Zadanie 7.
Zadanie 8.
Zadanie 9.
Zadanie 10.
Zadanie 11.