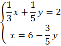
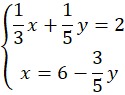
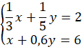
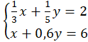
Układ nieoznaczony
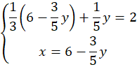
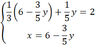
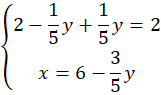
Oblicz x z drugiego równania:
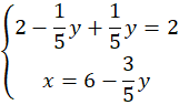
Podstaw x do pierwszego równania i uporządkuj równanie:
Zauważ, że y należy do zbioru liczb rzeczywistych:
Układ nieoznaczony ma nieskończenie wiele rozwiązań.