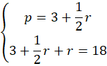
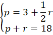
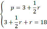
W tym zadaniu musisz zapisać informację, że liczba p jest o 3 większa od połowy liczby r, oraz że suma p i r wynosi 18, w postaci układu równań i musisz go rozwiązać.
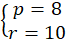
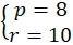
Rozwiązanie
Wyjaśnienie
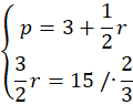
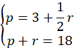
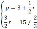
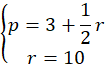
Zauważ, że p to suma połowy r i liczby 3: , więc zapisz układ równań: