Zadanie

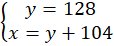
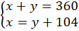
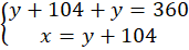
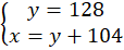
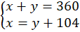
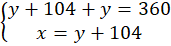
W tym zadaniu musisz obliczyć ile osób głosowało za, a ile przeciw wnioskowi, jeżeli w sumie głosowało 360 osób, nikt nie wstrzymał się od głosu oraz za wnioskiem głosowało o 104 osoby więcej niż przeciw.

Rozwiązanie

Wyjaśnienie

Zadania z tego działu
7. Układy równań liniowych z dwiema niewiadomymi
158
Równanie liniowe z dwiema niewiadomymi
158
Rozwiązywanie układów równań liniowych z dwiema niewiadomymi
160
Przykłady zadań prowadzących do rozwiązywania układów równań liniowych
167