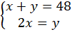
W tym zadaniu musisz przedstawić za pomocą układu równań informacje, że do salonu sprowadzono w sumie 48 samochodów Kia i Suzuki oraz że samochodów Kia było 2 razy więcej niż Suzuki.
Rozwiązanie
, gdzie x – liczba samochodów Suzuki, y – liczba samochodów Kia
Wyjaśnienie
Podstaw za x liczbę samochodów Suzuki, a za y – liczbę samochodów Kia, zauważ, że w sumie samochodów jest 48, więc zapisz równanie: . Skoro samochodów Kia jest 2 razy więcej niż Suzuki, zapisz drugie równanie: .