Zadanie

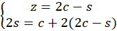
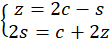
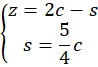
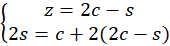
W tym zadaniu musisz udowodnić, że najdroższy jest lizak żółty, wiedząc, że dwa czerwone lizaki kosztują tyle samo co jeden żółty i jeden lizak zielony oraz dwa lizaki żółte kosztują tyle samo co jeden lizak czerwony i dwa lizaki zielone.

Rozwiązanie

Wyjaśnienie

Zadania z tego działu
7. Układy równań liniowych z dwiema niewiadomymi
158
Równanie liniowe z dwiema niewiadomymi
158
Rozwiązywanie układów równań liniowych z dwiema niewiadomymi
160
Przykłady zadań prowadzących do rozwiązywania układów równań liniowych
167