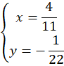
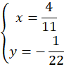
Odpowiedź:
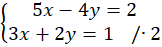
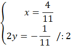
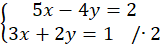
Pomnóż drugie równanie razy 2:
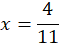
Następnie dodaj stronami, zauważ, że y się skróci i oblicz x:
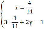
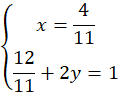
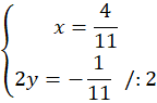
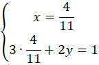
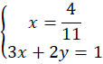
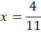
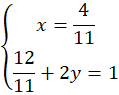
Podstaw wyliczone x do dowolnego równania i oblicz y:
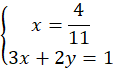
Rozwiązaniem układu równań jest para liczb :