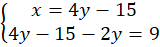
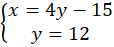
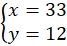
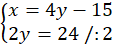
Zadanie

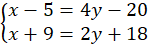
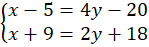
W tym zadaniu musisz obliczyć ile lat żył i ile lat panował Aleksander Wielki, wiedząc, że gdyby umarł 5 lat szybciej, to panowałby swojego życia, a gdyby żył 9 lat dłużej, to panowałby połowę swojego życia.

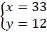
Rozwiązanie

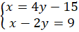
Wyjaśnienie

Zadania z tego działu
7. Układy równań liniowych z dwiema niewiadomymi
158
Równanie liniowe z dwiema niewiadomymi
158
Rozwiązywanie układów równań liniowych z dwiema niewiadomymi
160
Przykłady zadań prowadzących do rozwiązywania układów równań liniowych
167