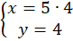
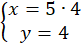
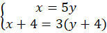
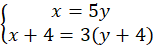
x – lata praktyki piekarza
x + 4 – lata praktyki piekarza za 4 lata
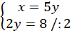
y – lata praktyki ucznia
y + 4 – lata praktyki ucznia za 4 lata
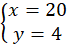
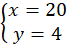
Odpowiedź: Piekarz pracuje 20 lat w swoim zawodzie.
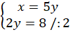
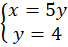
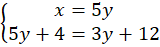
Przyjmij, że x to lata praktyki piekarza, zauważ, że x + 4 to lata praktyki piekarza za 4 lata. Przyjmij, że y to lata praktyki ucznia, czyli y + 4 to lata praktyki ucznia za 4 lata. Obecnie piekarz ma 5 razy więcej lat doświadczenia niż uczeń, więc zapisz równanie:
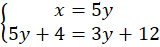
Podstaw x do drugiego równania i oblicz y:
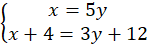
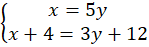
Podstaw y do pierwszego równania i oblicz x: