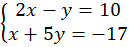
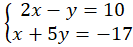
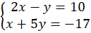
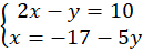
W tym zadaniu musisz rozwiązać układ równań metodą podstawiania.
Oblicz x z drugiego równania i podstaw je do pierwszego:
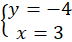
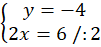
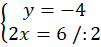
Oblicz y z pierwszego równania:
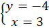
Podstaw y do dowolnego równania i oblicz x:
Ćwiczenie 1.
Podpunkt a)
Podpunkt b)
Podpunkt c)
Ćwiczenie 2.
Ćwiczenie 3.
Ćwiczenie 4.
Zadanie 7.1.
Zadanie 7.2.
Zadanie 7.3.
Ćwiczenie 5.
Ćwiczenie 6.
Ćwiczenie 7.
Ćwiczenie 8.
Ćwiczenie 9.
Zadanie 7.4.
Podpunkt d)
Podpunkt e)
Podpunkt f)
Zadanie 7.5.
Zadanie 7.6.
Zadanie 7.7.
Zadanie 7.8.
Zadanie 7.9.
Zadanie 7.10.
Zadanie 7.11.
Zadanie 7.12.
Zadanie 7.13.
Zadanie 7.14.
Zadanie 7.15.
Ćwiczenie 10.
Ćwiczenie 11.
Ćwiczenie 12.
Zadanie 7.16.
Zadanie 7.17.
Zadanie 7.18.
Zadanie 7.19.
Zadanie 7.20.
Zadanie 7.21.
Zadanie 7.22.
Zadanie 7.23.
Zadanie 7.24.
Zadanie 1.
Zadanie 2.
Zadanie 3.
Zadanie 4.
Zadanie 5.
Zadanie 6.
Zadanie 7.
Zadanie 8.
Zadanie 9.
Zadanie 10.
Zadanie 11.