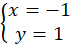
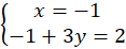
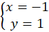
Odpowiedź: (-1,1)
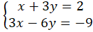
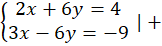
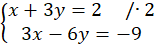
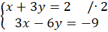
Pomnóż pierwsze równanie razy 2:
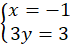
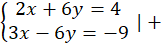
Następnie dodaj stronami, zauważ, że y się skróci i oblicz x:
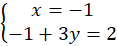
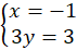
Podstaw wyliczone x do dowolnego równania i oblicz y:
Rozwiązaniem układu równań jest para liczb (-1,1).