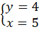
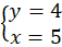
Odpowiedzieć: Jest to układ oznaczony
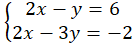
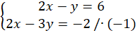
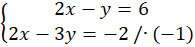
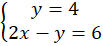
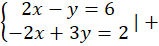
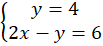
Rozwiąż układ, pomnóż drugie równanie razy -1:
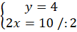
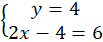
Dodaj równania stronami i oblicz y:
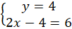
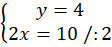
Podstaw y do dowolnego równania i oblicz x:
Układ ma jedno rozwiązanie, więc jest to układ oznaczony.