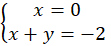
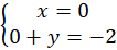
Zadanie

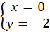
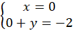
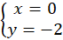
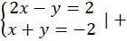
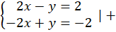
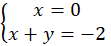
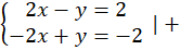
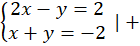
W tym zadaniu musisz stwierdzić, czy zdania układ równań : nie ma rozwiązania, gdy w miejsce kropek zapisze się równanie oraz czy ma rozwiązanie, gdy w miejsce kropek wpisze się równanie , są prawdziwe.

Rozwiązanie

Wyjaśnienie

Zadania z tego działu
7. Układy równań liniowych z dwiema niewiadomymi
158
Równanie liniowe z dwiema niewiadomymi
158
Rozwiązywanie układów równań liniowych z dwiema niewiadomymi
160
Przykłady zadań prowadzących do rozwiązywania układów równań liniowych
167