1.
2.
3.
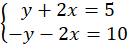
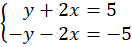
Zauważ, że jeżeli zapiszesz równanie, w którym współczynniki przy x i y mają przeciwne znaki niż w podanym równaniu, to dodając równania stronami, z lewej wyjdzie zero. Żeby układ nie miał rozwiązań, musi być sprzeczny, więc z prawej strony równania dopisz liczbę inną niż -5, aby prawa strona się nie wyzerowała:
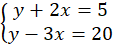
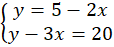
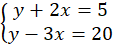
Zapisz dowolne równanie i sprawdź, czy ma jedno rozwiązanie:
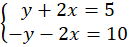
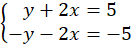
Aby dostać układ nieoznaczony, który ma nieskończenie wiele rozwiązań, po dodaniu stronami musi wyjść 0 = 0, więc jeżeli weźmiesz równanie o przeciwnych znakach współczynników przy x i y oraz -5, to układ będzie nieoznaczony:
3.