Wszystkie możliwości:
Możliwości sprzyjające zdarzeniu:
Wyznacz wszystkie możliwości utworzenia takich liczb – na pierwszej pozycji możesz dać jedną z trzech możliwych cyfr, na drugiej – jedną spośród dwóch pozostałych, a na trzeciej – tylko jedną. Zgodnie z regułą mnożenia wymnóż je przez siebie.
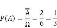
Zdarzeniu A sprzyjają dwa przypadki (liczby 475 i 745). Prawdopodobieństwo tego zdarzenia oblicz, dzieląc przypadki sprzyjające temu zdarzeniu przez ilość wszystkich możliwych liczb.