Zadanie

Określ, które z poniższych zdań jest prawdziwe, wiedząc, że skalary stanowią czwartą część wszystkich rybek oraz że w akwarium są poza nimi także gupiki.

A. Liczba skalarów jest trzy razy mniejsza od liczby gupików.

B. Stosunek liczby skalarów do liczby gupików wynosi 1 : 4.

C. Liczba gupików jest cztery razy większa od liczby skalarów.

D. Liczba gupików jest mniejsza od liczby skalarów.

Rozwiązanie

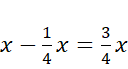
Wyjaśnienie