Skul.pl
  • Opracowania zadań z podręczników
  • Matematyka. Klasa 8. Zeszyt ćwiczeń - rozwiązania i odpowiedzi
  • Zadanie 13.

Matematyka. Klasa 8. Zeszyt ćwiczeń - rozwiązania i odpowiedzi

Zeszyt ćwiczeń, Wydawnictwo: WSiP
Poprzednie

Zadanie 13. - strona 102

Następne

Zadanie

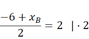
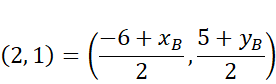
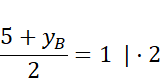
Wyznacz punkt B, wiedząc, że punkt S = (2, 1) jest środkiem odcinka o końcach w punktach A = (-6, 5) i B.

A. B = (-2, 3)

B. B = (-8, 4)

C. B = (8, -4)

D. B = (10, -3)

Rozwiązanie

Odpowiedź: D. B = (10, -3)

Skul

Wyjaśnienie

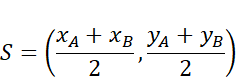
Skorzystaj ze wzoru na środek odcinka o końcach w punktach A i B: , z którego wyznacz współrzędne punktu B.

Poprzednie
Następne

Matematyka - wybrane pytania

Zadanie 1., strona 121, Matematyka. Klasa 1. Podręcznik. Zakres podstawowy - rozwiązania i odpowiedzi
Zadanie Co było na lekcji 5, strona 77, Matematyka. Klasa 5. Zeszyt ćwiczeń część 1 - rozwiązania i odpowiedzi.
Zadanie 7., strona 208, Prosto do matury. Matematyka. Klasa 1. Zakres podstawowy. Podręcznik - rozwiązania i odpowiedzi
Zadanie 13., strona 160, Matematyka. Klasa 3. Podręcznik. Zakres podstawowy - rozwiązania i odpowiedzi
Zadanie 8.14, strona 192, Matematyka. Klasa 1. Zakres podstawowy. Zbiór zadań - rozwiązania i odpowiedzi
Zadanie 40, strona 217, MATeMAtyka 4. Zakres podstawowy i rozszerzony. Podręcznik - rozwiązania i odpowiedzi
Ćwiczenie 1., strona 200, Matematyka z plusem. Klasa 8. Zbiór zadań - rozwiązania i odpowiedzi
Zadanie 7., strona 34, Matematyka. Klasa 6. Zeszyt ćwiczeń. Część 2 - rozwiązania i odpowiedzi
Zadanie 14., strona 73, Matematyka wokół nas. Klasa 8. Podręcznik - rozwiązania i odpowiedzi
Zadanie 22., strona 48, Matematyka. Klasa 7. Zbiór zadań – rozwiązania i odpowiedzi
REKLAMA
Skul
Zadania z tego działu
Arkusz egzaminacyjny
96

Zadania przypisane do działu

Zadanie 1.

96

Zadanie 2.

96

Zadanie 3.

96

Zadanie 4.

98

Zadanie 5.

98

Zadanie 6.

98

Zadanie 7.

98

Zadanie 8.

100

Zadanie 9.

100

Zadanie 10.

102

Zadanie 11.

102

Zadanie 12.

102

Zadanie 13.

102

Zadanie 14.

104

Zadanie 15.

104

Zadanie 16.

104

Zadanie 17.

106

Zadanie 18.

107

Zadanie 19.

108

Zadanie 20.

109
Pełny spis treści
Skul
Artboard 1
Skul.pl
  • Napisz do nas
  • FAQ
  • Mapa Serwisu
  • Google Play
  • App Store

Korzystanie z portalu oznacza akceptację Regulaminu.
Polityka prywatności. Ustawienia preferencji. Copyright: INTERIA.PL 1999-2023 Wszystkie prawa zastrzeżone.