Na początku:
Ula:
Ela:
Później:
Ula:
Ela:
Odpowiedź: Ula początkowo miała 13 figurek, a Ania 26.
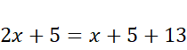
Przez x oznacz początkową ilość figurek Uli. W takim razie Ania miała ich 2x. Zapisz wyrażenia opisujące ich ilość po zebraniu kolejnych pięciu figurek. Zapisz odpowiednie równanie, z którego wyznacz niewiadomą x.