Skul.pl
  • Opracowania zadań z podręczników
  • Matematyka. Klasa 8. Zeszyt ćwiczeń - rozwiązania i odpowiedzi
  • Zadanie 11.

Matematyka. Klasa 8. Zeszyt ćwiczeń - rozwiązania i odpowiedzi

Zeszyt ćwiczeń, Wydawnictwo: WSiP
Poprzednie

Zadanie 11. - strona 102

Następne

Zadanie

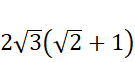
Na podstawie rysunku określ prawdziwość podanych zdań.

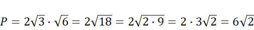
Pole prostokąta jest równe .

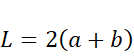
Obwód prostokąta jest równy .

Rozwiązanie

Wymiary:

Zdanie 1: Pole prostokąta jest równe . - P

Zdanie 2: Obwód prostokąta jest równy . - F

Skul

Wyjaśnienie

Skorzystaj ze wzoru na pole prostokąta i jego obwód , gdzie a, b – długości boków prostokąta.

Poprzednie
Następne

Matematyka - wybrane pytania

Zadanie 13, strona 113, MATeMAtyka. Klasa 3. Zbiór zadań. Zakres podstawowy i rozszerzony – rozwiązania i odpowiedzi
Zadanie 11., strona 13, Matematyka. Klasa 7. Podręcznik – rozwiązania i odpowiedzi
Zadanie 2.19., strona 27, Prosto do matury. Klasa 4. Podręcznik. Zakres podstawowy - rozwiązania i odpowiedzi
Zadanie 9.4., strona 255, Prosto do matury. Matematyka. Klasa 1. Zakres podstawowy. Podręcznik - rozwiązania i odpowiedzi
Ćwiczenie 4., strona 210, Matematyka z plusem. Klasa 8. Zbiór zadań - rozwiązania i odpowiedzi
Zadanie 1., strona 72, Matematyka. Klasa 8. Zeszyt ćwiczeń - rozwiązania i odpowiedzi
Zadanie 16., strona 233, Matematyka z plusem. Klasa 3. Zbiór zadań. Zakres rozszerzony – rozwiązania i odpowiedzi
Zadanie 4., strona 82, Matematyka. Klasa 7. Zbiór zadań – rozwiązania i odpowiedzi
Zadanie 8., strona 86, Matematyka wokół nas. Klasa 6. Zbiór zadań - rozwiązania i odpowiedzi
Zadanie Czy już umiem? IV, strona 160, Matematyka z kluczem. Klasa 7. Podręcznik – rozwiązania i odpowiedzi
REKLAMA
Skul
Zadania z tego działu
Arkusz egzaminacyjny
96

Zadania przypisane do działu

Zadanie 1.

96

Zadanie 2.

96

Zadanie 3.

96

Zadanie 4.

98

Zadanie 5.

98

Zadanie 6.

98

Zadanie 7.

98

Zadanie 8.

100

Zadanie 9.

100

Zadanie 10.

102

Zadanie 11.

102

Zadanie 12.

102

Zadanie 13.

102

Zadanie 14.

104

Zadanie 15.

104

Zadanie 16.

104

Zadanie 17.

106

Zadanie 18.

107

Zadanie 19.

108

Zadanie 20.

109
Pełny spis treści
Skul
Artboard 1
Skul.pl
  • Napisz do nas
  • FAQ
  • Mapa Serwisu
  • Google Play
  • App Store

Korzystanie z portalu oznacza akceptację Regulaminu.
Polityka prywatności. Ustawienia preferencji. Copyright: INTERIA.PL 1999-2023 Wszystkie prawa zastrzeżone.