Udowodnij, że pole prostokąta ABCD jest czterokrotnie większe od pola AKL, wiedząc, że środkiem boku AB jest punkt K, środkiem boku DC – punkt L.
Rozwiązanie
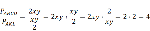
c.n.d.
Wyjaśnienie
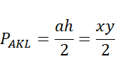
Wyznacz pole trójkąta AKL, korzystając ze wzoru , gdzie a – długość podstawy (w tym przypadku x), h – wysokość opuszczona na podstawę (w tym przypadku y).
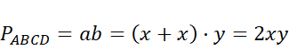
Wyznacz pole prostokąta ABCD, korzystając ze wzoru , gdzie a – jeden bok prostokąta (w tym przypadku 2x), b – drugi bok prostokąta (w tym przypadku y).