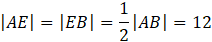
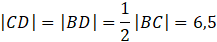
W tym zadaniu musisz obliczyć promień okręgu opisanego na trójkącie.
Okrąg opisany na trójkącie ma środek w punkcie przecięcia symetralnych boków – zaznacz dwie symetralne CF i FD na rysunku pomocniczym. Odcinki AE i EB oraz CD i BD są połowami odpowiednio odcinków AB i CD. Korzystając z twierdzenia Pitagorasa oblicz długość odcinka CE.
Zauważ, że trójkąty CEB i CFD są prostokątne oraz mają jeden wspólny kąt ostry. W związku z tym są to trójkąty podobne na mocy cechy kąt – kąt - kąt. Zapisz stosunki długości odpowiednich boków trójkąta, tworząc równanie, z którego wyznacz długość odcinka CF, który jest promieniem okręgu opisanego na trójkącie ABC.
Ćwiczenie 1
177Ćwiczenie 2
178Ćwiczenie 14
182Zadanie 2
187Zadanie 3
187Zadanie 7
187Ćwiczenie 6
192Zadanie 2
193Zadanie 5
193Ćwiczenie 1
197Zadanie 1
199Zadanie 9
200Zadanie 11
200Zadanie 1
208Zadanie 2
208Zadanie 3
208Zadanie 4
208Zadanie 6
209Zadanie 3
221Zadanie 4
221Zadanie 5
221Zadanie 7
221Zadanie 8
221Zadanie 9
222Ćwiczenie 4
226Zadanie 3
227Zadanie 4
227Zadanie 9
227Zadanie 10
227Zadanie 12
227Ćwiczenie 2
228Ćwiczenie 4
231Zadanie 6
234Zadanie 7
234Zadanie 9
235Zadanie 11
235Zadanie 12
235Zadanie 17
235Zadanie 13
237Zadanie 18
238Zadanie 20
238Zadanie 26
238Zadanie 27
238Zadanie 31
239Zadanie 33
239Zadanie 36
239Zadanie 38
239