W tym zadaniu musisz udowodnić twierdzenie.
Cnw.
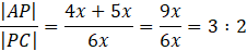
Zacznij od oznaczenia długości odcinków AB i PB odpowiednio jako 5x oraz 4x, gdzie x jest liczbą rzeczywistą dodatnią. Następnie zapisz równanie wynikające z twierdzenia o stycznej i siecznej i za jego pomocą wyznacz długość odcinka PC w zależności od x. Zapisz stosunku długości odcinków AP i PC w postaci ułamka zwykłego, który następnie skróć przez 3x, otrzymując tezę.
Ćwiczenie 1
177Ćwiczenie 2
178Ćwiczenie 14
182Zadanie 2
187Zadanie 3
187Zadanie 7
187Ćwiczenie 6
192Zadanie 2
193Zadanie 5
193Ćwiczenie 1
197Zadanie 1
199Zadanie 9
200Zadanie 11
200Zadanie 1
208Zadanie 2
208Zadanie 3
208Zadanie 4
208Zadanie 6
209Zadanie 3
221Zadanie 4
221Zadanie 5
221Zadanie 7
221Zadanie 8
221Zadanie 9
222Ćwiczenie 4
226Zadanie 3
227Zadanie 4
227Zadanie 9
227Zadanie 10
227Zadanie 12
227Ćwiczenie 2
228Ćwiczenie 4
231Zadanie 6
234Zadanie 7
234Zadanie 9
235Zadanie 11
235Zadanie 12
235Zadanie 17
235Zadanie 13
237Zadanie 18
238Zadanie 20
238Zadanie 26
238Zadanie 27
238Zadanie 31
239Zadanie 33
239Zadanie 36
239Zadanie 38
239