W tym zadaniu musisz udowodnić twierdzenie.
Cnw.
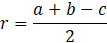
Naszkicuj rysunek pomocniczy, na którym opisz wierzchołki trójkąta. Wprowadź oznaczenia zgodne z poleceniem. Ramiona trójkąta są styczne do okręgu, dlatego promienie poprowadzone do punktów styczności są prostopadłe do boków. W związku z tym czworokąt utworzony przez punkty C, P, O, Q jest kwadratem o boku r. W związku z tym |CP| = r i |CQ| = r, na następnie |AP| = a – r i |BQ| = b – r. Na mocy twierdzenia o odcinkach stycznych, długość odcinka |AR| = |AP| = a – r oraz |BR| = |BQ| = b – r. Odcinki |AR| i |BR| sumują się do odcinka |AB|, którego długość jest równa c. Przyrównaj sumę odcinków do c, a następnie przekształć równanie, otrzymując tym samym tezę.
Ćwiczenie 1
177Ćwiczenie 2
178Ćwiczenie 14
182Zadanie 2
187Zadanie 3
187Zadanie 7
187Ćwiczenie 6
192Zadanie 2
193Zadanie 5
193Ćwiczenie 1
197Zadanie 1
199Zadanie 9
200Zadanie 11
200Zadanie 1
208Zadanie 2
208Zadanie 3
208Zadanie 4
208Zadanie 6
209Zadanie 3
221Zadanie 4
221Zadanie 5
221Zadanie 7
221Zadanie 8
221Zadanie 9
222Ćwiczenie 4
226Zadanie 3
227Zadanie 4
227Zadanie 9
227Zadanie 10
227Zadanie 12
227Ćwiczenie 2
228Ćwiczenie 4
231Zadanie 6
234Zadanie 7
234Zadanie 9
235Zadanie 11
235Zadanie 12
235Zadanie 17
235Zadanie 13
237Zadanie 18
238Zadanie 20
238Zadanie 26
238Zadanie 27
238Zadanie 31
239Zadanie 33
239Zadanie 36
239Zadanie 38
239