W tym zadaniu musisz wyznaczyć odległości środka okręgu opisanego na trójkącie od jego boków.
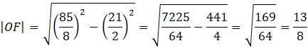
Zauważ, że ponieważ środek okręgu leży w punkcie przecięcia symetralnych boków trójkąta (które są prostopadłe do boków), odległość środka okręgu od boków trójkąta jest równa długości odcinka łączącego środek okręgu ze środkiem odcinka. Zaznacz odcinki, których długości chcesz wyznaczyć oraz promienie okręgu poprowadzone do wierzchołków trójkąta. Zauważ, że szukane odcinki są przyprostokątnymi trójkątów prostokątnych, dla których znasz długości boków, są to np. trójkąty: OFA, ADO i CEO. Dla utworzonych trójkątów zapisz twierdzenie Pitagorasa otrzymując równanie, za którego pomocą możesz wyznaczyć szukane długości odcinków.
Ćwiczenie 1
177Ćwiczenie 2
178Ćwiczenie 14
182Zadanie 2
187Zadanie 3
187Zadanie 7
187Ćwiczenie 6
192Zadanie 2
193Zadanie 5
193Ćwiczenie 1
197Zadanie 1
199Zadanie 9
200Zadanie 11
200Zadanie 1
208Zadanie 2
208Zadanie 3
208Zadanie 4
208Zadanie 6
209Zadanie 3
221Zadanie 4
221Zadanie 5
221Zadanie 7
221Zadanie 8
221Zadanie 9
222Ćwiczenie 4
226Zadanie 3
227Zadanie 4
227Zadanie 9
227Zadanie 10
227Zadanie 12
227Ćwiczenie 2
228Ćwiczenie 4
231Zadanie 6
234Zadanie 7
234Zadanie 9
235Zadanie 11
235Zadanie 12
235Zadanie 17
235Zadanie 13
237Zadanie 18
238Zadanie 20
238Zadanie 26
238Zadanie 27
238Zadanie 31
239Zadanie 33
239Zadanie 36
239Zadanie 38
239