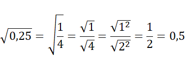
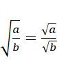
Najpierw zamień ułamek dziesiętny na ułamek prosty. Dalej skorzystaj z własności działań na pierwiastkach i znajdź liczbę, która podniesiona do drugiej potęgi da liczbę pod pierwiastkiem. Potem skróć pierwiastek z drugą potęgą. Na koniec zamień ułamek zwykły na ułamek dziesiętny.