Ile jest równa liczba ?
A.
B.
C.1
D.
Odpowiedź: A.
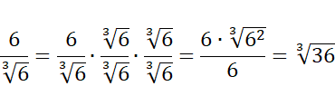
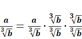
Zauważ, że zachodzi: .
Zadanie 1.
Zadanie 2.
Zadanie 3.
Zadanie 4.
Zadanie 5.
Zadanie 6.
Zadanie 7.
Zadanie 8.
Podpunkt a)
Podpunkt b)
Podpunkt c)
Podpunkt d)
Podpunkt e)
Podpunkt f)
Podpunkt g)
Podpunkt h)
Podpunkt i)
Podpunkt j)
Podpunkt k)
Podpunkt l)
Podpunkt m)
Podpunkt n)
Zadanie 9.
Zadanie 10.
Zadanie 11.
Zadanie 12.
Zadanie 13.