Wylicz: .
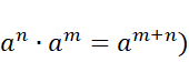
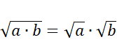
Skorzystaj z własności potęgowania ( , a następnie z własności działania na pierwiastkach ( ).
Zadanie 1.
Zadanie 2.
Zadanie 3.
Zadanie 4.
Zadanie 5.
Zadanie 6.
Zadanie 7.
Zadanie 8.
Podpunkt a)
Podpunkt b)
Podpunkt c)
Podpunkt d)
Podpunkt e)
Podpunkt f)
Podpunkt g)
Podpunkt h)
Podpunkt i)
Podpunkt j)
Podpunkt k)
Podpunkt l)
Podpunkt m)
Podpunkt n)
Zadanie 9.
Zadanie 10.
Zadanie 11.
Zadanie 12.
Zadanie 13.