Zadanie

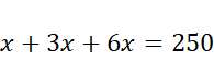
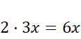
Wyznacz kwoty otrzymane przez Michała, Karola i Anię, wiedząc, że Michał otrzymał 3 razy mniej pieniędzy niż Karol, a Karol otrzymał dwa razy mniej niż Ania. Ponadto łącznie dostali oni 250 zł/

Rozwiązanie

Wyjaśnienie

Zadania z tego działu
8. Rachunek algebraiczny i równania
63
8.1. Zapisywanie wyrażeń algebraicznych
63
8.2. Mnożenie sumy algebraicznej przez jednomian
64
8.5. Przekształcanie wzorów
69
8.6. Zadania tekstowe z zastosowaniem równań
70