Zadanie

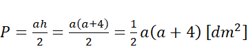
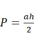
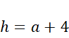
Przedstaw wyrażenie opisujące pole trójkąta równoramiennego, w którym podstawa ma długość a dm, a wysokość 4 cm, w najprostszej postaci wyrażone w cm2.

Rozwiązanie

Wyjaśnienie

Zadania z tego działu
8. Rachunek algebraiczny i równania
63
8.1. Zapisywanie wyrażeń algebraicznych
63
8.2. Mnożenie sumy algebraicznej przez jednomian
64
8.5. Przekształcanie wzorów
69
8.6. Zadania tekstowe z zastosowaniem równań
70