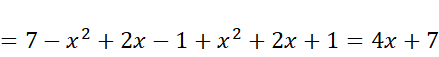
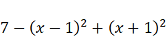
Oblicz wyrażenie .
Wymnóż sumy algebraiczne przez siebie, a następnie zredukuj wyrazy podobne.
Zadanie 1.
Zadanie 2.
Zadanie 3.
Podpunkt a)
Podpunkt b)
Podpunkt c)
Zadanie 4.
Podpunkt I.
Podpunkt II.
Podpunkt d)
Zadanie 5.
Podpunkt e)
Podpunkt f)
Zadanie 6.
Podpunkt III.
Podpunkt I
Podpunkt II