Zadanie

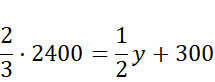
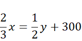
Wstaw w puste miejsca zdania odpowiednie wartości, aby było ono prawdziwe, wiedząc, że dwie trzecie wypłaty pierwszego robotnika stanowi połowę zarobku drugiego z nich powiększoną o 300 zł.

I. Jeżeli pierwszy robotnik zarobił 2400 zł, to drugi robotnik zarobił ____ zł, a obaj łącznie zarobili ____ zł.

Rozwiązanie

Wyjaśnienie

Zadania z tego działu
8. Rachunek algebraiczny i równania
63
8.1. Zapisywanie wyrażeń algebraicznych
63
8.2. Mnożenie sumy algebraicznej przez jednomian
64
8.5. Przekształcanie wzorów
69
8.6. Zadania tekstowe z zastosowaniem równań
70