Zadanie

Określ, czy podane zdania są prawdziwe, czy fałszywe.

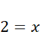
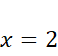
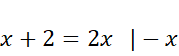
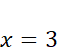
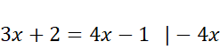
Rozwiązaniem równania 3x + 2 = 4x – 1 jest liczba większa od 2.

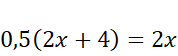
Rozwiązaniem równania 0,5(2x + 4) = 2x jest liczba całkowita.

Rozwiązanie

Wyjaśnienie

Zadania z tego działu
8. Rachunek algebraiczny i równania
63
8.1. Zapisywanie wyrażeń algebraicznych
63
8.2. Mnożenie sumy algebraicznej przez jednomian
64
8.5. Przekształcanie wzorów
69
8.6. Zadania tekstowe z zastosowaniem równań
70