Zadanie

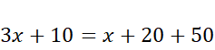
Wskaż równanie, które równowagę szalek wagi, wiedząc, że na jednej z jej szalek znajdują się 3 słoiki dżemu i jeden odważnik 10 dag, a drugiej – jeden słoik dżemu oraz odważniki 20 dag i 50 dag. Ponadto waga słoiku wynosi x.

E.

F.

G.

H.

Rozwiązanie

Wyjaśnienie

Zadania z tego działu
8. Rachunek algebraiczny i równania
63
8.1. Zapisywanie wyrażeń algebraicznych
63
8.2. Mnożenie sumy algebraicznej przez jednomian
64
8.5. Przekształcanie wzorów
69
8.6. Zadania tekstowe z zastosowaniem równań
70