Zadanie

Określ, czy podane zdania są prawdziwe, czy fałszywe.

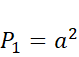
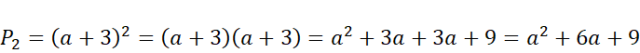
Jeżeli długość każdego boku kwadratu zwiększymy o 3 cm, to pole tego kwadratu zwiększy się o 9 cm2.

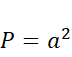
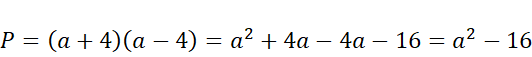
Jeżeli długość jednego boku kwadratu zwiększymy o 4 cm, a długość drugiego boku kwadratu zmniejszymy o 4 cm, to powstanie prostokąt, którego pole opisuje wyrażenie P = a2 – 16.

Rozwiązanie

Wyjaśnienie

Zadania z tego działu
8. Rachunek algebraiczny i równania
63
8.1. Zapisywanie wyrażeń algebraicznych
63
8.2. Mnożenie sumy algebraicznej przez jednomian
64
8.5. Przekształcanie wzorów
69
8.6. Zadania tekstowe z zastosowaniem równań
70